Reacciones químicas y disoluciones 0001

, por F_y_Q

Cuando hacemos reaccionar 32 g de dihidróxido de hierro con 40 mL de una disolución al 25\% en masa de sulfano, se obtiene sulfuro de hierro (II) y agua.

a) ¿Sobrará algún reactivo? ¿Cuál?

b) ¿Qué cantidad de agua se habrá formado cuando finalice la reacción?

Datos: Fe = 56 ; O = 16 ; H = 1 ; S = 32 ; d_{sulfano} = 1,23\ g/mL

P.-S.

a) En primer lugar escribimos y ajustamos la reacción:

Fe(OH)_2 + H_2S\ \to\ FeS + 2H_2O


Convertimos a mol los datos que nos indican en el enunciado:
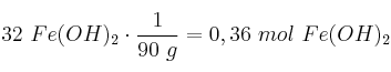
32\g\ Fe(OH)_2\cdot \frac{1\mol}{90\ g} = 0,36\ mol\ Fe(OH)_2
40\ mL\ D\cdot 1,23\frac{g}{mL}\cdot \frac{25\ g\ H_2S}{100\ g\ D} = 12,3\ g\ H_2S
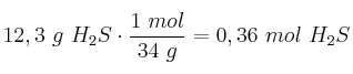
12,3\ g\ H_2S\cdot \frac{1\ mol}{34\ g} = 0,36\ mol\ H_2S
No sobra ningún reactivo porque hay los mismos moles de cada uno de los reactivos y la estequiometría de la reacción es 1:1 entre ambos reactivos.
b) A partir de los moles de uno de los reactivos, y teniendo en cuenta la estequiometría de la reacción, podemos hacer el cálculo:

0,36\ mol\ H_2S\cdot \frac{2\ mol\ H_2O}{1\ mol\ H_2S}\cdot \frac{18\ g\ H_2O}{1\ mol\ H_2O} = \bf 12,96\ g\ H_2O