Reacción química: reactivo limitante y sustancias finales (3110)

, por F_y_Q

El cloruro de bario y el nitrato de plata reaccionan en un intercambio de iones. Si una disolución, que contiene 62.4 g de nitrato de plata, se hace reaccionar con una disolución que contiene 53.1 g de cloruro de bario:

a) ¿Cuál es el reactivo limitante?

b) ¿Cuántos gramos y de qué reactivo quedan sin reaccionar?

c) ¿Cuántos gramos de cloruro de plata se formarán?

P.-S.

En primer lugar escribes la reacción debidamente ajustada:

\color[RGB]{2,112,20}{\textbf{\ce{BaCl2 + 2AgNO3 -> 2AgCl + Ba(NO3)2}}}



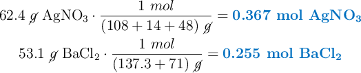
a) Conviertes las masas de los reactivos en mol para poder aplicar la estequiometría y determinar cuál de ellos es el reactivo limitante:

\left 62.4\ \cancel{g}\ \ce{AgNO3}\cdot \dfrac{1\ mol}{(108 + 14 + 48)\ \cancel{g}} = {\color[RGB]{0,112,192}{\textbf{0.367 mol \ce{AgNO3}}}} \atop 53.1\ \cancel{g}\ \ce{BaCl2}\cdot \dfrac{1\ mol}{(137.3 + 71)\ \cancel{g}} = {\color[RGB]{0,112,192}{\textbf{0.255 mol \ce{BaCl2}}}} \right

Dado que son dos moles de nitrato de plata los que reaccionan con un mol de cloruro de bario:

0.367\ \cancel{\ce{mol\ AgNO3}}\cdot \frac{1\ \ce{mol\ BaCl2}}{2\ \cancel{\ce{mol\ AgNO3}}} = \color[RGB]{0,112,192}{\textbf{0.184 mol \ce{BaCl2}}}

Cuando se acabe todo el \ce{AgNO_3} aún quedará \ce{BaCl_2} sin reaccionar, por lo que \fbox{\color[RGB]{192,0,0}{\textbf{el reactivo limitante es el \ce{AgNO3}}}}

b) Sobrarán:

(0.255 - 0.184)\ mol = \color[RGB]{0,112,192}{\bm{7.1\cdot 10^{-2}}\ \textbf{mol\ \ce{BaCl2}}}

La masa de este reactivo es:

7.1\cdot 10^{-2}\ \cancel{\text{mol}}\ \ce{BaCl2}\cdot \frac{208.3\ g}{1\ \cancel{\text{mol}}} = \fbox{\color[RGB]{192,0,0}{\textbf{14.8 g \ce{BaCl2}}}}


c) Debes hacer los cálculos tomando como referencia los moles de nitrato de plata. Se formarán los mismos moles de cloruro de plata porque la relación estequiométrica entre ambos es 2:2:

0.367\ \cancel{\text{mol}}\ \ce{AgCl}\cdot \frac{143.5\ g}{1\ \cancel{\text{mol}}} = \fbox{\color[RGB]{192,0,0}{\textbf{52.7 g AgCl}}}