Reacción entre el sulfano y el hidróxido de sodio (901)

, por F_y_Q

Reaccionan 17 g de \ce{H2S} con \ce{NaOH} y se forman 39 g de \ce{Na2S}. Sabiendo que la reacción es:

\ce{H2S(ac) + NaOH(ac) -> Na2S(ac) + H2O(l)}

Calcula:

a) La masa de hidróxido de sodio (\ce{NaOH}) que ha reaccionado.

b) La masa de agua (\ce{H2O}) que se produce.

c) El número de moléculas de \ce{Na2S} formado.

P.-S.

Como siempre, lo primero que debes hacer es ajustar la reacción química:

\color[RGB]{2,112,20}{\textbf{\ce{H2S(ac) + 2NaOH(ac) -> Na2S(ac) + 2H2O(l)}}}

a) Si conviertes la masa de sulfano a mol:

17\ \cancel{g}\ \ce{H2S}\cdot \frac{1\ \text{mol}}{(2 + 32)\ \cancel{g}} = \color[RGB]{0,112,192}{\textbf{0.5 mol \ce{H2S}}}

A partir de la estequiometría de la reacción, y teniendo en cuenta la masa molecular del NaOH, calculas la masa que ha reaccionado:

0.5\ \cancel{\ce{mol\ H2S}}\cdot \frac{2\ \cancel{\text{mol}}\ \ce{NaOH}}{1\ \cancel{\ce{mol\ H2S}}}\cdot \frac{40\ g}{1\ \cancel{\text{mol}}} = \fbox{\color[RGB]{192,0,0}{\textbf{40 g \ce{NaOH}}}}


b) La masa de agua que se produce la puedes obtener aplicando la ley de conservación de la masa:

\color[RGB]{2,112,20}{\bm{\sum m_r = \sum m_p}}

Despejas el valor de la masa de agua y calculas:

m_{\ce{H2S}} + m_{\ce{NaOH}} = m_{\ce{Na2S}} + m_{\ce{H2O}}\ \to\ m_{\ce{H2O}} = (17 + 40 - 39)\ g = \fbox{\color[RGB]{192,0,0}{\textbf{18 g \ce{H2O}}}}


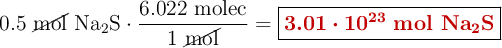
c) Para calcular el número de moléculas necesitas saber los moles de \ce{Na2S} contenidos en la masa que se ha formado:

39\ \cancel{g}\ \ce{Na2S}\cdot \frac{1\ \text{mol}}{(46 + 32)\ \cancel{g}} = \color[RGB]{0,112,192}{\textbf{0.5 mol \ce{Na2S}}}

Si aplicas la definición de mol y usas el número de Avogadro:

0.5\ \cancel{\text{mol}}\ \ce{Na2S}\cdot \frac{6.022\ \text{molec}}{1\ \cancel{\text{mol}}} = \fbox{\color[RGB]{192,0,0}{\bm{3.01\cdot 10^{23}}\ \textbf{mol \ce{Na2S}}}}