Rapidez de un movimiento circular (4275)

, por F_y_Q

Un automóvil recorre una pista circular de 100 m de radio en 20 segundos. Calcula su rapidez media.

P.-S.

La longitud de la pista será igual a la longitud de la circunferencia:

L= 2\pi \cdot R = 2\pi \cdot 100\ m = \color[RGB]{0,112,192}{\bf 628\ m}

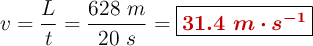
La celeridad o rapidez media será el cociente entre la distancia que ha recorrido y el tiempo que ha empleado en hacerlo:

v = \frac{L}{t} = \frac{628\ m}{20\ s} = \fbox{\color[RGB]{192,0,0}{\bm{31.4\ m\cdot s^{-1}}}}