Radianes que gira una tornamesa antes de detenerse

, por F_y_Q

La tornamesa de un tocadiscos tiene una velocidad angular de 8.0 rad/s cuando es apagada, tardando 2.5 s en volver al reposo. ¿Cuántos radianes gira la tornamesa después de apagarse? Asume que la aceleración angular es constante.

P.-S.

En primer lugar es necesario calcular la aceleración angular del aparato:

\alpha = \frac{\omega - \omega_0}{t} = \frac{(0 - 8)\ \frac{rad}{s}}{2.5\ s} = \color[RGB]{0,112,192}{\bm{-3.2\ \frac{rad}{s^2}}}

Los radianes que gira antes de detenerse se pueden calcular de dos modos distintos según la ecuación que uses.

Primer modo.

\phi = \omega_0\cdot t + \frac{\alpha}{2}\cdot t^2 = 8\ \frac{rad}{\cancel{s}}\cdot 2.5\ \cancel{s} - \frac{3.2}{2}\ \frac{rad}{\cancel{s^2}}\cdot 2.5^2\ \cancel{s^2} = \fbox{\color[RGB]{192,0,0}{\bf 10\ rad}}


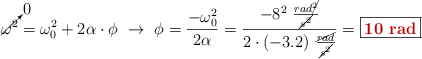
Segundo modo.

\cancelto{0}{\omega^2} = \omega_0^2 + 2\alpha\cdot \phi\ \to\ \phi = \frac{-\omega_0^2}{2\alpha} = \frac{-8^2\ \frac{rad\cancel{^2}}{\cancel{s^2}}}{2\cdot (-3.2)\ \frac{\cancel{rad}}{\cancel{s^2}}} = \fbox{\color[RGB]{192,0,0}{\bf 10\ rad}}

Palabras clave