Proyectil disparado por un cañón con un ángulo de 49 grados

, por F_y_Q

Un proyectil es disparado por un cañón con una velocidad de 120 m/s y un ángulo de 49^o con la horizontal. Encuentra:
a) Su posición (coordenadas xy) después de 7 s.
b) Su velocidad y dirección después de 10 s.
c) El valor máximo que puede alcanzar durante su trayectoria.
d) El tiempo que está en el aire.
e) El alcance del proyectil, asumiendo que el piso está nivelado.

P.-S.

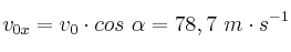
Debemos descomponer la velocidad inicial con la que es disparado el proyectil en sus componentes horizontal y vertical:
v_{0x} = v_0\cdot cos\ \alpha = 78,7\ m\cdot s^{-1}
v_{0y} = v_0\cdot sen\ \alpha = 90,6\ m\cdot s^{-1}
La única aceleración presente en el movimiento es la aceleración de la gravedad, que tiene dirección vertical, por lo que la velocidad en el eje X será constante pero no lo será la velocidad en el eje Y. Las componentes serán:
v_x = 78,7\ (m\cdot s^{-1})
v_y = (90,6 - 9,8t)\ (m\cdot s^{-1})
El movimiento del proyectil en la dirección horizontal es uniforme, mientras que en la dirección vertical es acelerado. Las coordenadas del proyectil vendrán dadas por las ecuaciones:
x = v_x\cdot t = 78,7t (m)
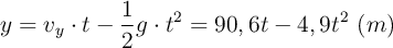
y = v_y\cdot t - \frac{1}{2}g\cdot t^2 = 90,6t - 4,9t^2\ (m)
A partir de estas ecuaciones podemos responder a cada uno de los apartados:
a) Para los primeros 7 segundos:
x = 78,7\cdot 7 = \bf 551\ m
y = 90,6\cdot 7 - 4,9\cdot 7^2 = \bf 394\ m
La posición del proyectil será: (551, 394).
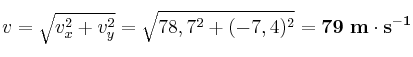
b) La componente X de la velocidad es constante, por lo que solo tenemos que calcular la componente Y de la velocidad para poder conocer la velocidad total cuando t = 10 s, la velocidad será:
v_y = 90,6 - 9,8\cdot 10 = \bf - 7,4\ m\cdot s^{-1}
La velocidad será:
v = \sqrt{v_x^2 + v_y^2} = \sqrt{78,7^2 + (-7,4)^2} = \bf 79\ m\cdot s^{-1}.
La dirección de la velocidad, con respecto a la horizontal, se obtiene haciendo el cociente entre sus componentes:
tg\ \alpha = \frac{v_y}{v_x} = \frac{-7,4}{78,7}\ \to\ \alpha = arctg\ -0,09 = \bf -5,14^o
Esto quiere decir que forma un ángulo de 5,14^o por debajo de la horizontal en el punto en el que se encuentra.
c) La velocidad máxima que puede alcanzar el proyectil coincide con la velocidad inicial (120 m/s), ya que la componente Y se va reduciendo mientras asciende. Llegado al punto más alto de la trayectoria, volverá a crecer la componente Y, pero el valor máximo será cuando vuelva a tocar tierra, en cuyo caso será la misma que la inicial, si despreciamos cualquier rozamiento.
d) Para poder calcular el tiempo que está en el aire solo tenemos que imponer como condición que la posición del proyectil en el eje Y sea cero:
y = 90,6t - 4,9t^2 = 0\ \to\ 90,6 - 4,9t = 0\ \to\ t_v = \frac{90,6}{4,9} = \bf 18,5\ s
e) El alcance máximo se obtiene calculando el valor de X para el tiempo de vuelo calculado en el apartado anterior:

x_{m\acute{a}x} = 78,7\frac{m}{s}\cdot 18,5\s = \bf 1\ 456\ m