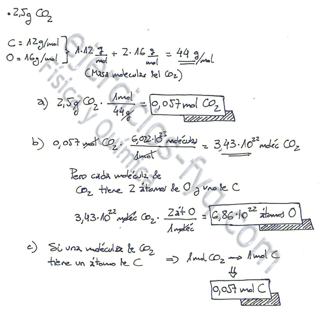
Problema moles 0006
Un botella contiene 2,5 g de
:
a) ¿Cuántos moles de
contiene?
b) ¿Cuántos átomos de oxígeno?
c) ¿Cuántos moles de carbono?
Un botella contiene 2,5 g de
:
a) ¿Cuántos moles de
contiene?
b) ¿Cuántos átomos de oxígeno?
c) ¿Cuántos moles de carbono?