Problema de una disolución de aceite de palma y coco (68)

, por F_y_Q

Si mezclamos 13 g de aceite de palma con 25 g de aceite de coco:

a) ¿Quién es el soluto y quién es el disolvente?

b) ¿Cuál es la masa de la disolución?

c) ¿Cuál es la concentración de soluto en \%\ (m) ?

d) ¿Cuál sería el volumen de la mezcla si sabemos que su densidad es de 0.87\ \textstyle{g\over mL} ?

P.-S.

a) Soluto: aceite de palma, porque está en menor proporción en la mezcla. El disolvente será, por lo tanto, el aceite de coco.

b) La masa de la disolución se obtiene sumando las masas de soluto y disolvente:

m_D = m_S + m_d = (13 + 25)\ g = \fbox{\color[RGB]{192,0,0}{\bf 38\ g\ D}}


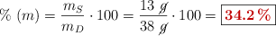
c) La concentración en masa se calcula a partir de la ecuación:

\%\ (m) = \frac{m_S}{m_D}\cdot 100 = \frac{13\ \cancel{g}}{38\ \cancel{g}}\cdot 100 = \fbox{\color[RGB]{192,0,0}{\bf 34.2\%}}


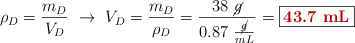
d) Sabiendo que la densidad es el cociente entre la masa y el volumen de la disolución:

\rho_D = \frac{m_D}{V_D}\ \to\ V_D = \frac{m_D}{\rho_D} = \frac{38\ \cancel{g}}{0.87\ \frac{\cancel{g}}{mL}} = \fbox{\color[RGB]{192,0,0}{\bf 43.7\ mL}}