Problema de movimiento rectilíneo uniforme y unidades 0001

, por F_y_Q

Un móvil recorre una distancia de 2,7 km durante 3 minutos. ¿Cuál es la velocidad del móvil en m/s?

P.-S.

v = \frac{d}{t} = \frac{2,7\ km}{3\ min} = 0,9\frac{km}{min}
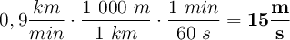
Pero debemos expresarlo en m/s:

0,9\frac{km}{min}\cdot \frac{1\ 000\ m}{1\ km}\cdot \frac{1\ min}{60\ s} = \bf 15\frac{m}{s}