Principio de Pascal en fluidos (4090)

, por F_y_Q

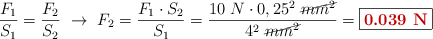
Una enfermera aplica una fuerza de 10 N en el émbolo de una jeringa que tiene un diámetro interno de 8 mm. ¿Cuál será la fuerza con la que sale el líquido por la aguja si tiene un diámetro de 0.5 mm?

P.-S.

En los fluidos, la presión se propaga en todas direcciones (Principio de Pascal), por lo tanto la presión que se ejerce sobre el émbolo de la jeringa ha de ser igual que la que tiene el líquido en la salida de la misma. La presión es el cociente entre la fuerza y la superficie:

\frac{F_1}{S_1} = \frac{F_2}{S_2}\ \to\ F_2 = \frac{F_1\cdot S_2}{S_1} = \frac{10\ N\cdot 0,25^2\ \cancel{mm^2}}{4^2\ \cancel{mm^2}} = \fbox{\color[RGB]{192,0,0}{\bf 0.039\ N}}