Presión que ejerce una persona sentada en una silla (275)

, por F_y_Q

Una silla de 5 kg de masa se apoya en el suelo sobre cuatro patas circulares de 4\ cm^2 de base cada una de ellas. Calcula la presión que ejerce dicha silla sobre el suelo cuando en ella se siente una persona de 75 kg de masa.

P.-S.

En primer lugar, debes calcular la superficie total sobre la que se apoya la silla, pero expresada en unidades SI:

S_T = 4\cdot 4\ cm^2\ \to\ S_T = 16\ \cancel{m^2}\cdot \frac{1\ m^2}{10^4\ \cancel{cm^2}} = \color[RGB]{0,112,192}{\bm{1.6\cdot 10^{-3}\ m^2}}

La fuerza es el peso de la silla y la persona que se sienta en ella:

p = m\cdot = (5 + 75)\ kg\cdot 9.8\ \frac{m}{s^2} = \color[RGB]{0,112,192}{\bf 784\ N}

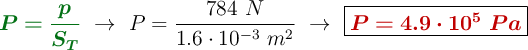
La presión es el cociente entre el peso y la superficie sobre la que apoya:

{\color[RGB]{2,112,20}{\bm{P = \frac{p}{S_T}}}}\ \to\ P = \frac{784\ N}{1.6\cdot 10^{-3}\ m^2}\ \to\ \fbox{\color[RGB]{192,0,0}{\bm{P = 4.9\cdot 10^5\ Pa}}}