Potencia que entrega una fuente en un circuito complejo (6772)

, por F_y_Q

En el circuito eléctrico mostrado en el esquema, determina la potencia, expresada en W, que entrega la fuente de 12 V y la corriente que circula por cada rama. Considera fuentes ideales.

P.-S.

Si aplicas las leyes de Kirchhoff a ambas mallas obtienes las ecuaciones, tomando un sentido de la corriente en cada una y poniendo las intensidades en cada rama, obtienes el siguiente esquema:

(Clicando en la miniatura podrás ver el esquema con más detalle).

Las ecuaciones que obtienes son:

\color[RGB]{0,112,192}{\bm{ I_1 = I_2 + I_3}}

\color[RGB]{0,112,192}{\bf{\left 12 + 8 = 5I_1 \atop - 8 + 5 = 5I_2}\right \} }}

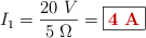
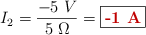
La resolución es inmediata:

I_1 = \frac{20\ V}{5\ \Omega} = \fbox{\color[RGB]{192,0,0}{\bf 4\ A}}


I_2 = \frac{-5\ V}{5\ \Omega} = \fbox{\color[RGB]{192,0,0}{\bf -1\ A}}


I_3 = I_1 - I_2 = (4 + 1)\ A = \fbox{\color[RGB]{192,0,0}{\bf 5\ A}}


La potencia que precisas es igual a:

P = I\cdot \Delta V = 4\ A\cdto 12\ V = \fbox{\color[RGB]{192,0,0}{\bf 48\ W}}