Potencia del motor de la bomba de un estanque (3931)

, por F_y_Q

¿Cuál es la potencia que desarrolla un motor que acciona una bomba que suministra 3\ m^3 de agua por minuto a un estanque que está a 12 m del suelo?

P.-S.

La potencia necesaria será igual a la variación de la energía potencial que experimenta el agua, suponiendo un rendimiento del 100\ \% y que no hay pérdidas por fricción, dividido por el tiempo empleado en ello:

\Delta E_P =  m\cdot g\cdot \Delta h\ \to\ \color[RGB]{2,112,20}{\bm{\Delta E_P = \rho\cdot V\cdot g\cdot \Delta h}}}

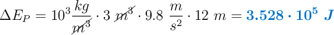
Sustituyes los valores, suponiendo la densidad del agua como 10^3\ \frac{kg}{m^3}:

\Delta E_P = 10^3\frac{kg}{\cancel{m^3}}\cdot 3\ \cancel{m^3}\cdot 9.8\ \frac{m}{s^2}\cdot 12\ m  = \color[RGB]{0,112,192}{\bm{3.528\cdot 10^5\ J}}

Como esta variación de energía, que es igual al trabajo desarrollado por el motor, se lleva a cabo en un minuto, es decir, 60 s:

P = \frac{W}{t} = \frac{3.528\cdot 10^5\ J}{60\ s} = \fbox{\color[RGB]{192,0,0}{\bm{5.88\cdot 10^3\ W}}}