Potencia de una pistola de resorte que dispara proyectiles (6134)

, por F_y_Q

¿Cuál debe ser la potencia de una pistola de resorte que dispara proyectiles de 50 g, con una rapidez de 100 m/s al salir del cañón, en un intervalo de 0.1 s?

P.-S.

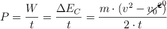
La pistola hace un trabajo sobre el proyectil que provoca la variación de la energía cinética del proyectil. Si divides ese trabajo por el tiempo durante el que realiza ese trabajo, obtienes la potencia:

P = \frac{W}{t}  = \frac{\Delta E_C}{t} = \frac{m\cdot (v^2 - \cancelto{0}{v_0}^2)}{2\cdot t}

Si sustituyes los datos, pero expresando la masa en kg:

P = \frac{5\cdot 10^{-2}\ kg\cdot 100^2\frac{m^2}{s^2}}{2\cdot 0.1\ s} = \fbox{\color[RGB]{192,0,0}{\bm{2.5\cdot 10^3\ W}}}