Potencia de entrada de una bomba de agua (3451)

, por F_y_Q

Una bomba de agua debe subir agua a una altura de 15 m a razón de 0.01\ m^3\cdot s^{-1}. Si se desprecian las perdidas por rozamiento en las cañerías y curvas, ¿qué potencia necesita entregar la bomba? ¿Si las bomba tiene una eficiencia del 75\ \%, ¿qué potencia de entrada requiere?

P.-S.

Primero tienes que hacer el cálculo de la energía que ha de entregar la bomba. Para ello, necesitas conocer la masa de agua que tiene que elevar a 15 m en cada segundo. Un metro cúbico equivale a 1 000 L. Si supones que la densidad del agua es 1 kg/L, la masa de agua será:

0.01\frac{\cancel{m^3}}{s}\cdot \frac{10^3\ \cancel{L}}{1\ \cancel{m^3}}\cdot \frac{1\ kg}{1\ \cancel{L}} = \color[RGB]{0,112,192}{\bm{10\ kg\cdot s^{-1}}}

La potencia es el cociente entre la energía y el tiempo. Si calculas la energía potencial gravitatoria que es necesaria para subir esos 10 kg de agua los 15 m y lo tienes en cuenta para cada segundo, tendrás la potencia que debe entregar la bomba (potencia teórica):

P_t = 10\ \frac{kg}{s}\cdot 9.8\ \frac{m}{s^2}\cdot 15\ m = \fbox{\color[RGB]{192,0,0}{\bm{1\ 470\ \frac{J}{s}\equiv W}}}



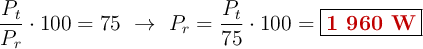
Como el rendimiento de la bomba no es ideal, la potencia real que debe suministrar será:

\frac{P_t}{P_r}\cdot 100 = 75\ \to\ P_r = \frac{P_t}{75}\cdot 100 = \fbox{\color[RGB]{192,0,0}{\bf 1\ 960\ W}}}