Posición y velocidad de una moneda lanzada para ganar un peluche (6144)

, por F_y_Q

En una feria, se gana una jirafa de peluche lanzando una moneda a un platito, el cual está sobre una repisa más arriba del punto en que la moneda sale de la mano y a una distancia horizontal de 2.1 m desde ese punto (ver figura). Si se lanza la moneda con velocidad de 6.4 \ \textstyle{m\over s}, y un ángulo de 60 ^o sobre la horizontal, la moneda caerá en el platito. Ignora la resistencia del aire y responde:

a) ¿A qué altura está la repisa sobre el punto donde se lanza la moneda?

b) ¿Cuál es la altura máxima alcanzada por la moneda?

c) ¿Cuál es la velocidad de la moneda un instante antes de tocar el plato?

P.-S.

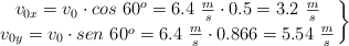
El primer lugar vamos a escribir las componentes de la velocidad inicial en cada dirección:

\left v_{0x} = v_0\cdot  cos\ 60^o = 6.4\ \frac{m}{s}\cdot 0.5 = 3.2\ \frac{m}{s} \atop v_{0y} = v_0\cdot  sen\ 60^o = 6.4\ \frac{m}{s}\cdot 0.866 = 5.54\ \frac{m}{s} \right \}

Escribimos ahora las ecuaciones de la velocidad y la posición en cada dirección para la moneda:

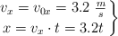
Dirección horizontal:

Se trata de un movimiento uniforme y las ecuaciones son:

\left v_x = v_{0x} = 3.2\ \frac{m}{s} \atop x  = v_x\cdot  t = 3.2t \right \}

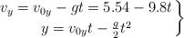
Dirección vertical:

Ahora debemos tener en cuenta la aceleración de la gravedad y el movimiento es uniformemente acelerado:

\left v_y  = v_{0y} -  gt = 5.54 -  9.8t \atop y  = v_{0y} t - \frac{g}{2}t^2 \right \}

a) Como conocemos la distancia horizontal que recorre la momeda hasta llegar al plato, el tiempo que está la moneda en el aire es:

t_v  = \frac{x}{v_x} = \frac{2.1\ \cancel{m}}{3.2\ \frac{\cancel{m}}{s}} = \color[RGB]{0,112,192}{\bf 0.65\  s}

Si usamos este tiempo en la ecuación de la posición vertical, tendremos la altura a la que está el plato:

y =  5.54\ \frac{m}{\cancel{s}}\cdot  0.65\ \cancel{s} - \frac{9.8}{2}\ \frac{m}{\cancel{s^2}}\cdot 0.65^2\ \cancel{s^2} = \fbox{\color[RGB]{192,0,0}{\bf 1.53\ m}}


b) Para saber la altura máxima que alcanza la moneda debemos saber el momento en el que su velocidad vertical es nula, momento en el que comienza a descender:

v_y  = 0\ \to\ t_s  = \frac{5.54\ \frac{\cancel{m}}{\cancel{s}}}{9.8\ \frac{\cancel{m}}{s\cancel{^2}}} = \color[RGB]{0,112,192}{\bf 0.56\ s}

La altura máxima será:

y_{m\acute{a}x}  = 5.54\ \frac{m}{\cancel{s}}\cdot  0.56\ \cancel{s} - \frac{9.8}{2}\ \frac{m}{\cancel{s^2}}\cdot 0.56^2\ \cancel{s^2} = \fbox{\color[RGB]{192,0,0}{\bf 1.56\ m}}


c) Calculamos la componente vertical de la velocidad en el instante que la moneda llega al plato. Recordemos que la componente horizontal es constante:

v_y  = 5.54\ \frac{m}{s} - 9.8\ \frac{m}{s\cancel{^2}}\cdot  0.65\ \cancel{s} = \color[RGB]{2,112,20}{\bm{-0.83\ \frac{m}{s}}}

Quiere decir que está descendiendo la moneda, lo que es muy lógico.

La velocidad de la moneda será:

v =  \sqrt{v_x^2 + v_y^2} = \sqrt{(3.2^2 + 0.83^2)\ \frac{m^2}{s^2}}  = \fbox{\color[RGB]{192,0,0}{\bm{3.3\ \frac{m}{s}}}}