Posición y velocidad de un objeto lanzado verticalmente hacia arriba (6380)

, por F_y_Q

Se lanza un objeto verticalmente hacia arriba con una velocidad inicial de 40 m/s. Halla:

a) La posición y velocidad al cabo de 2 s.

b) La altura máxima que alcanza y el tiempo empleado.

P.-S.

Se trata de un movimiento rectilíneo unifomemente acelerado en el que la aceleración es la de la gravedad, que debes considerar con signo negativo porque tiene sentido contrario a la velocidad del lanzamiento, es g  = 10\ \textstyle{m\over s^2}.

a) La velocidad a los 2 s es:

v = v_0 - gt = 40\ \frac{m}{s} - 10\ \frac{m}{s\cancel{^2}}\cdot 2\ \cancel{s} = \fbox{\color[RGB]{192,0,0}{\bm{20\ \frac{m}{s}}}}


La posición en ese instante es:

y = \cancelto{0}{y_0} + v_0\cdot t - \frac{g}{2}\cdot t^2 = 40\ \frac{m}{\cancel{s}}\cdot 2\ \cancel{s} - 5\ \frac{m}{\cancel{s^2}}\cdot 2^2\ \cancel{s^2} = \fbox{\color[RGB]{192,0,0}{\bf 60\ m}}


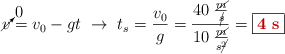
b) Cuando alcanza la altura máxima la velocidad de ascenso es cero. Debes imponer esa condición para obtener el tiempo durante el que asciende:

\cancelto{0}{v} = v_0 - gt\ \to\ t_s = \frac{v_0}{g} = \frac{40\ \frac{\cancel{m}}{\cancel{s}}}{10\ \frac{\cancel{m}}{s\cancel{^2}}} = \fbox{\color[RGB]{192,0,0}{\bf 4\ s}}


Sustiyuendo este tiempo en la ecuación de la posición obtienes la altura máxima:

y_{m\acute{a}x} = \cancelto{0}{y_0} + v_0\cdot t - \frac{g}{2}\cdot t^2 = 40\ \frac{m}{\cancel{s}}\cdot 4\ \cancel{s} - 5\ \frac{m}{\cancel{s^2}}\cdot 4^2\ \cancel{s^2} = \fbox{\color[RGB]{192,0,0}{\bf 80\ m}}