Posición y velocidad de tres objetos lanzados hacia arriba a la vez desde distintas alturas (6303)

, por F_y_Q

En un edificio de 70 pisos (1.8 metros de altura por piso), tres estudiantes lanzan al mismo tiempo, en pisos diferentes, objetos diferentes entre sí. El primer estudiante se ubica en el piso trece y desde allí lanza verticalmente hacia arriba un objeto con una velocidad de 180 km/h; el segundo estudiante se ubica en el piso dieciocho y desde allí lanza verticalmente hacia arriba su objeto con una velocidad de 100 km/h y el tercer estudiante se ubica en el piso veintitrés y desde allí lanza verticalmente su objeto hacia arriba con una velocidad de 80 km/h.

a) ¿En qué piso del edificio pasan juntos los objetos lanzados desde el piso dieciocho y el piso trece?

b) ¿En qué piso del edificio pasan juntos los objetos lanzados desde el piso veintitrés y el piso dieciocho?

c) ¿En qué piso del edificio pasan juntos los objetos lanzados desde el piso veintitrés y el piso trece?

d) ¿Qué velocidad llevan los objetos lanzados del piso dieciocho y el piso trece, cuando el uno pasa junto al otro?

e) ¿Qué velocidad llevan los objetos lanzados del piso veintitrés y el piso dieciocho, cuando el uno pasa junto al otro?

f) ¿Qué velocidad llevan los objetos lanzados del piso veintitrés y el piso trece, cuando el uno pasa junto al otro?

g) ¿En qué orden llegan los objetos al suelo?

h) ¿Con qué velocidad impacta cada objeto contra el suelo?

i) ¿Cuál es la altura máxima alcanzada por cada objeto con respecto a su punto de lanzamiento?

P.-S.

Es buena idea empezar el ejercicio expresando las alturas desde las que son lanzados los objetos y sus velocidades en unidades SI. Solo tienes que dividir los valores de las velocidades por 3.6 para obtenerlas en m/s y multiplicar cada piso por 1.8 m, que es la altura de cada uno.
Las ecuaciones de la posición y la velocidad de cada objeto son:

y = y_0 + v_0\cdot t - \frac{g}{2}\cdot t^2
v = v_0-gt

A partir de los datos de cada lanzamiento, las ecuaciones de cada objeto serán:

y_1 = 23.4 + 50t - 4.9t^2
v_1 = 50 - 9.8t

y_2 = 32.4 + 27.8t - 4.9t^2
v_2 = 27.8 - 9.8t

y_3 = 41.4 + 22.2t - 4.9t^2
v_3 = 22.2 - 9.8t

a) Igualas las posiciones de los objetos 1 y 2 y obtienes el valor del tiempo:

23.4 + 50t - \cancel{4.9t^2} = 32.4 + 27.8t - \cancel{4.9t^2}\ \to\ 22.2t = 9\ \to\ t = \frac{9\ \cancel{m}}{22.2\ \frac{\cancel{m}}{s}} = \color[RGB]{0,112,192}{\bf 0.4\ s}

Sustituyes el valor del tiempo en la ecuación de la posición de uno de los dos objetos:

y_1 = 23.4\ m + 50\ \frac{m}{\cancel{s}}\cdot 0.4\ \cancel{s} - 4.9\ \frac{m}{\cancel{s^2}}\cdot 0.4^2\ \cancel{s^2} = 42.6\ m

Si divides por 1.8 m, que es la altura de cada piso, obtienes:

\frac{42.6}{1.8} = \fbox{\color[RGB]{192,0,0}{\bf 23.7}}


Entre el piso 23 y el 24 será cuando coincidan ambos objetos.
b) Debes hacer lo mismo que en el apartado anterior para los cuerpos 2 y 3:

32.4 + 27.8t = 41.4 + 22.2t\ \to\ 5.6t = 9\ \to\ t = \frac{9\ \cancel{m}}{5.6\ \frac{\cancel{m}}{s}} = \color[RGB]{0,112,192}{\bf 1.6\ s}

y_2 = 32.4\ m + 27.8\ \frac{m}{\cancel{s}}\cdot 1.6\ \cancel{s} - 4.9\ \frac{m}{\cancel{s^2}}\cdot 1.6^2\ \cancel{s^2} = 64.3\ m

\frac{64.3}{1.8} = \fbox{\color[RGB]{192,0,0}{\bf 35.7}}


Entre el piso 35 y el 36 será cuando coincidan ambos objetos.
c) Repites los pasos para los objetos 1 y 3:

23.4 + 50t = 41.4 + 22.2t\ \to\ 27.8t = 18\ \to\ t = \frac{18\ \cancel{m}}{27.8\ \frac{\cancel{m}}{s}} = \color[RGB]{0,112,192}{\bf 0.65\ s}

y_1 = 23.4\ m + 50\ \frac{m}{\cancel{s}}\cdot 0.65\ \cancel{s} - 4.9\ \frac{m}{\cancel{s^2}}\cdot 0.65^2\ \cancel{s^2} = 53.8\ m

\frac{53.8}{1.8} = \fbox{\color[RGB]{192,0,0}{\bf 29.9}}


Entre el piso 29 y el 30 será cuando coincidan ambos objetos.

d) Para calcular la velocidad de los objetos debes sustituir el valor del tiempo del apartado a) en las ecuaciones de la velocidad de los objetos 1 y 2:

v_1 = 50\ \frac{m}{s} - 9.8\ \frac{m}{s\cancel{^2}}\cdot 0.4\ \cancel{s} = \fbox{\color[RGB]{192,0,0}{\bm{46.1\ \frac{m}{s}}}}


v_2 = 27.8\ \frac{m}{s} - 9.8\ \frac{m}{s\cancel{^2}}\cdot 0.4\ \cancel{s} = \fbox{\color[RGB]{192,0,0}{\bm{23.9\ \frac{m}{s}}}}


e) Debes hacer lo mismo que en el apartado anterior pero para los objetos 2 y 3:

v_2 = 27.8\ \frac{m}{s} - 9.8\ \frac{m}{s\cancel{^2}}\cdot 1.6\ \cancel{s} = \fbox{\color[RGB]{192,0,0}{\bm{12.1\ \frac{m}{s}}}}


v_3 = 22.2\ \frac{m}{s} - 9.8\ \frac{m}{s\cancel{^2}}\cdot 1.6\ \cancel{s} = \fbox{\color[RGB]{192,0,0}{\bm{6.52\ \frac{m}{s}}}}


f) Ahora lo haces con los objetos 1 y 3:

v_1 = 50\ \frac{m}{s} - 9.8\ \frac{m}{s\cancel{^2}}\cdot 0.65\ \cancel{s} = \fbox{\color[RGB]{192,0,0}{\bm{43.6\ \frac{m}{s}}}}


v_3 = 22.2\ \frac{m}{s} - 9.8\ \frac{m}{s\cancel{^2}}\cdot 0.65\ \cancel{s} = \fbox{\color[RGB]{192,0,0}{\bm{15.8\ \frac{m}{s}}}}


g) Si igualas a cero las ecuaciones de la posición de cada objeto y resuelves las ecuaciones de segundo grado puedes obtener el tiempo que tarda cada uno en llegar al suelo:

23.4 + 50t - 4.9t^2 = 0\ \to\ t_1 = \color[RGB]{0,112,192}{\bf 10.7\ s}
32.4 + 27.8t - 4.9t^2 = 0\ \to\ t_2 = \color[RGB]{0,112,192}{\bf 6.67\ s}
41.4 + 22.2t - 4.9t^2 = 0\ \to\ t_3 = \color[RGB]{0,112,192}{\bf 5.95\ s}

El orden de llegada al suelo es el objeto 3, seguido del objeto 2 y por último el objeto 1.

h) Las velocidades de llegada al suelo las obtienes sustituyendo estos tiempos en las ecuaciones de las velocidades:

v_1 = 50\ \frac{m}{s} - 9.8\ \frac{m}{s\cancel{^2}}\cdot 10.7\ \cancel{s} = \fbox{\color[RGB]{192,0,0}{\bm{-54.9\ \frac{m}{s}}}}


v_2 = 27.8\ \frac{m}{s} - 9.8\ \frac{m}{s\cancel{^2}}\cdot 6.67\ \cancel{s} = \fbox{\color[RGB]{192,0,0}{\bm{-37.6\ \frac{m}{s}}}}


v_3 = 22.2\ \frac{m}{s} - 9.8\ \frac{m}{s\cancel{^2}}\cdot 5.95\ \cancel{s} = \fbox{\color[RGB]{192,0,0}{\bm{-36.1\ \frac{m}{s}}}}


Las velocidades negativas quieren decir que el sentido de todas ellas es descendente.

i) Para calcular las alturas máximas debes calcular primero el tiempo que están subiendo los objetos y luego sustituir ese tiempo en sus ecuaciones de la posición. Cada cuerpo asciende hasta que su velocidad se hace nula, momento en el que comienzan a descender:

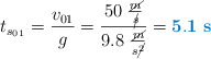
t_{s_0_1} = \frac{v_{01}}{g} = \frac{50\ \frac{\cancel{m}}{\cancel{s}}}{9.8\ \frac{\cancel{m}}{s\cancel{^2}}} = \color[RGB]{0,112,192}{\bf 5.1\ s}

y_{m\acute{a}x_1} = 23.4\ m + 50\ \frac{m}{\cancel{s}}\cdot 5.1\ \cancel{s} - 4.9\ \frac{m}{\cancel{s^2}}\cdot 5.1^2\ \cancel{s^2} = \fbox{\color[RGB]{192,0,0}{\bf 151\ m}}


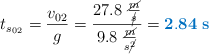
t_{s_0_2} = \frac{v_{02}}{g} = \frac{27.8\ \frac{\cancel{m}}{\cancel{s}}}{9.8\ \frac{\cancel{m}}{s\cancel{^2}}} = \color[RGB]{0,112,192}{\bf 2.84\ s}

y_{m\acute{a}x_2} = 32.4\ m + 27.8\ \frac{m}{\cancel{s}}\cdot 2.84\ \cancel{s} - 4.9\ \frac{m}{\cancel{s^2}}\cdot 2.84^2\ \cancel{s^2} = \fbox{\color[RGB]{192,0,0}{\bf 71.8\ m}}


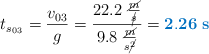
t_{s_0_3} = \frac{v_{03}}{g} = \frac{22.2\ \frac{\cancel{m}}{\cancel{s}}}{9.8\ \frac{\cancel{m}}{s\cancel{^2}}} = \color[RGB]{0,112,192}{\bf 2.26\ s}

y_{m\acute{a}x_3} = 41.4\ m + 22.2\ \frac{m}{\cancel{s}}\cdot 2.26\ \cancel{s} - 4.9\ \frac{m}{\cancel{s^2}}\cdot 2.26^2\ \cancel{s^2} = \fbox{\color[RGB]{192,0,0}{\bf 66.5\ m}}