Posición y tiempo de caída en un ascenso vertical (4185)

, por F_y_Q

La altura de un helicóptero sobre el suelo está dada por la ecuación h = 3.00\cdot t^3, donde «h» está en metros y «t» en segundos. Después de 2 s, el helicóptero libera una pequeña valija de correo, ¿cuánto tiempo tardará en tocar esa valija el suelo?

P.-S.

La ecuación dada en el enunciado proporciona la altura del helicóptero en función del tiempo, es decir, en el momento que se quiera determinar. Como el problema indica que transcurren dos segundos, para saber la altura del helicóptero sustituyes en la ecuación:

h = 3.00\cdot 2^3 = \color[RGB]{0,112,192}{\bf 24\ m}

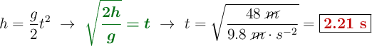
Si supones que, al soltar la valija, cae sin velocidad inicial y con aceleración constante e igual a la aceleración gravitatoria:

h = \frac{g}{2}t^2\ \to\ {\color[RGB]{2,112,20}{\bm{\sqrt{\frac{2h}{g}} = t}}}\ \to\ t = \sqrt{\frac{48\ \cancel{m}}{9.8\ {\cancel{m}\cdot s^{-2}}}} = \fbox{\color[RGB]{192,0,0}{\bf 2.21\ s}}