Posición relativa entre dos móviles con aceleración 0001

, por F_y_Q

Dos móviles parten del reposo, del mismo punto y al mismo instante con aceleraciones de 4 y 6 m/s^2. ¿Después de cuánto tiempo estarán separados en medio kilómetro?

P.-S.

Las ecuaciones de la posición de ambos móviles son:
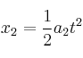
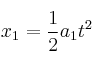
x_1 = \frac{1}{2}a_1t^2
 x_2 = \frac{1}{2}a_2t^2
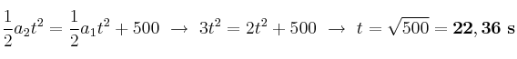
La condición que debemos imponer es que x_2 = x_1 + 500 si suponemos que el objeto 2 es el que se mueve con mayor aceleración:

\frac{1}{2}a_2t^2 = \frac{1}{2}a_1t^2 + 500\ \to\ 3t^2 = 2t^2 + 500\ \to\ t = \sqrt{500} = \bf 22,36\ s