Posición en un lanzamiento vertical hacia arriba 0001

, por F_y_Q

Una bala es disparada verticalmente hacia arriba con una rapidez de 25 m/s. ¿Cuánto demora la bala en regresar a su nivel de lanzamiento?

P.-S.

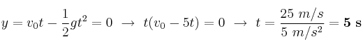
La ecuación de la posición para el lanzamiento vertical es: y = y_0 + v_0t - \frac{1}{2}gt^2. La posición inicial, que es donde tomamos la referencia, será cero:

y = v_0t - \frac{1}{2}gt^2 = 0\ \to\ t(v_0 - 5t) = 0\ \to\ t = \frac{25\ m/s}{5\ m/s^2} = \bf 5\ s