Posición, desplazamiento, distancia y velocidad a partir de ecuaciones paramétricas (6524)
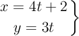
Una nadadora intenta cruzar la piscina. Las ecuaciones paramétricas que determinan su trayectoria en unidades SI son:

Determina:
a) El vector posición en t = 0 y t = 5 s.
b) La distancia al origen para t = 5 s.
c) El vector desplazamiento entre los instantes t = 0 y t = 5 s.
d) La velocidad media entre t = 0 y t = 5 s.
Ejercicios FyQ