Posición de una partícula 2 s después

, por F_y_Q

Una partícula se encuentra en la posición 12 m y se mueve a 16 km/h. Dos segundos después su velocidad es de 20 m/s. ¿En qué posición se encuentra a los 2 s?

P.-S.

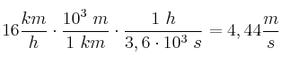
Para que el ejercicio sea homogéneno vamos a trabajar en unidades SI y convertimos la velocidad inicial a m/s:
16\frac{km}{h}\cdot \frac{10^3\ m}{1\ km}\cdot \frac{1\ h}{3,6\cdot 10^3\ s} = 4,44\frac{m}{s}
Calculamos ahora la aceleración de la partícula teniendo en cuenta cómo ha variado su velocidad en los dos segundos:
a = \frac{v_f - v_0}{t} = \frac{(20 - 4,44)\ m\cdot s^{-1}}{2\ s}{ = 7,78\frac{m}{s^2}
Ahora podemos calcular la posición cuando deje de acelerar:

x_f = x_0 + v_0\cdot t - \frac{1}{2}a\cdot t^2 = 12\ m + 4,44\frac{m}{s}\cdot 2\ s + \frac{7,78}{2}\frac{m}{s^2}\cdot 2^2\ s^2 = \bf 36,44\ m