Piedra lanzada hacia arriba 0001

, por F_y_Q

Una piedra es lanzada verticalmente hacia arriba con una velocidad de 49 m/s. ¿A qué altura llega la piedra y cuál es el tiempo que tarda en volver al suelo?

P.-S.

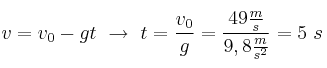
Se trata de un MRUA en el que la aceleración es la gravedad. Cuando la piedra llega al punto más alto su velocidad es cero:

v = v_0 - gt\ \to\ t = \frac{v_0}{g} = \frac{49\frac{m}{s}}{9,8\frac{m}{s^2}} = 5\ s


El tiempo de ascenso es 5 s. Como el movimiento de regreso, en ausencia de rozamiento, es simétrico, el tiempo total de vuelo será el doble, es decir, tardará 10 s en volver al suelo.
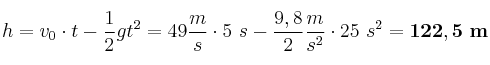
La altura que alcanza será:

h = v_0\cdot t - \frac{1}{2}gt^2 = 49\frac{m}{s}\cdot 5\ s - \frac{9,8}{2}\frac{m}{s^2}\cdot 25\ s^2 = \bf 122,5\ m