Periodo, frecuencia y frecuencia angular en un movimiento armónico simple (6472)

, por F_y_Q

Si una partícula da 5 oscilaciones en 10 segundos, halla:

a) Su periodo.

b) Su frecuencia.

c) Su velocidad angular.

P.-S.

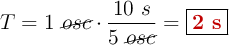
a) El periodo es el tiempo que tarda en dar una única oscilación, por lo tanto:

T = 1\ \cancel{osc}\cdot \frac{10\ s}{5\ \cancel{osc}} = \fbox{\color[RGB]{192,0,0}{\bf 2\ s}}


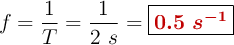
b) La frecuencia es la inversa del periodo:

f = \frac{1}{T} = \frac{1}{2\ s} = \fbox{\color[RGB]{192,0,0}{\bm{0.5\ s^{-1}}}}


c) La velocidad angular se obtiene al hacer el producto de la frecuencia por 2 \pi:

\omega = 2\pi\cdot f = 2\cdot \pi\ rad\cdot 0.5\ s^{-1} = \fbox{\color[RGB]{192,0,0}{\bm{\pi\ \frac{rad}{s}}}}