Periodo de oscilación y amplitud conociendo la energía de un oscilador

, por F_y_Q

Una partícula de 50 g vibra de forma que, en un punto situado a 4 cm de la posición de equilibrio, la energía cinética y la energía potencial coinciden, y son iguales a 2 J.

a) ¿Cuál es la amplitud del sistema?

b) ¿Cuánto vale el periodo de oscilación?

P.-S.

La energía potencial del oscilador depende de la elongación y de la constante de elástica. A partir del dato de la energía potencial puedes obtener el valor de la constante elástica:

E_P = \frac{k}{2}\cdot x^2\ \to\ k = \color{blue}{\frac{2E_P}{x^2}}

k = \frac{2\ 2\ J}{(4\cdot 10^{-2})^2\ m^2} = \color{blue}{2.5\cdot 10^3\ \frac{N}{m}}

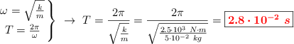
b) El periodo de oscilación es inmediato:

\left
\omega = \sqrt{\frac{k}{m}} \atop
T = \frac{2\pi}{\omega}
\right\} \ \to\ T = \frac{2\pi}{\sqrt{\frac{k}{m}}} = \frac{2\pi}{\sqrt{\frac{2.5\cdot 10^3\ N\cdot m}{5\cdot 10^{-2}\ kg}}} = \fbox{\color{red}{\bm{2.8\cdot 10^{-2}\ s}}}


a) La suma de las energías potencial y cinética es la energía mecánica y está relacionada con la amplitud de la oscilación:

E_M = E_P + E_C = \frac{m}{2}\omega^2\cdot A^2\ \to\ \color{blue}{E_M = \frac{k}{2}\cdot A^2}
Si despejas y sustituyes:

A = \sqrt{\frac{2E_M}{k}} = \sqrt{\frac{2\cdot 4\ J}{2.5\cdot 10^3\ N\cdot m}} = \fbox{\color{red}{\bm{5.66\cdot 10^{-2}\ m}}}