Pelota de béisbol lanzada hacia arriba que pasa por una ventana (6112)

, por F_y_Q

Se observa que una pelota de béisbol pasa hacia arriba frente una ventana que está a 23 m de altura, con rapidez vertical de 14 m/s. Si la pelota se lanzó desde la calle:

a) ¿Cuál fue su rapidez inicial?

b) ¿A qué altura llegará?

c) ¿En cuánto tiempo regresará al punto de lanzamiento?

P.-S.

a) La velocidad de lanzamiento la calculas a partir de la ecuación que relaciona las velocidades con la altura que alcanza:

v^2 = v_0^2 - 2gh\ \to\ \color[RGB]{2,112,20}{\bm{v_0 = \sqrt{v^2 + 2gh}}}

Sustituyes los datos del enunciado:

v_0 = \sqrt{14^2\ \frac{m^2}{s^2} + 2\cdot 9.8\ \frac{m}{s^2}\cdot 23\ m} = \fbox{\color[RGB]{192,0,0}{\bm{25.4\ \frac{m}{s}}}}


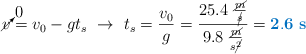
b) La altura a la que llegará la puedes conocer si impones la condición de que la rapidez de la pelota sea cero:

\cancelto{0}{v} = v_0 - gt_s\ \to\ t_s = \frac{v_0}{g} = \frac{25.4\ \frac{\cancel{m}}{\cancel{s}}}{9.8\ \frac{\cancel{m}}{s\cancel{^2}}} = \color[RGB]{0,112,192}{\bf 2.6\ s}

Ahora calculas qué altura tendrá la pelota en ese tiempo:

h = v_0t - \frac{g}{2}t^2\ \to\ h = 25.4\ \frac{m}{\cancel{s}}\cdot 2.6\ \cancel{s} - 4.9\ \frac{m}{\cancel{s^2}}\cdot 2.6^2\ \cancel{s^2} = \fbox{\color[RGB]{192,0,0}{\bf 33\ m}}


c) El tiempo que tarda en subir es el mismo tiempo que tarda en bajar, por lo tanto, el tiempo total es:

t_v = 2t_s = 2\cdot 2.6\ s = \fbox{\color[RGB]{192,0,0}{\bf 5.2\ s}}