Objeto lanzado hacia arriba desde lo alto de un edificio (4741)

, por F_y_Q

Se lanza un objeto hacia arriba con una velocidad inicial de 40 m/s desde el techo de un edificio de 100 m de altura. Calcula la máxima altura sobre el suelo y la velocidad con la que retorna al mismo.

P.-S.

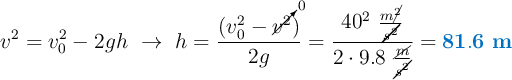
La posición o altura máxima que alcanzará está relacionada con la altura inicial del lanzamiento. Puedes hacer el cálculo a partir de la velocidad inicial si tienes en cuenta que el objeto deja de subir cuando su velocidad es cero:

v^2 = v_0^2 - 2gh\ \to\ h = \frac{(v_0^2 - \cancelto{0}{v^2})}{2g} = \frac{40^2\ \frac{m\cancel{^2}}{\cancel{s^2}}}{2\cdot 9.8\ \frac{\cancel{m}}{\cancel{s^2}}} = \color[RGB]{0,112,192}{\bf 81.6\ m}

La altura máxima sobre el suelo es, por lo tanto:

h_{\text{max}} = h_0 + h = (100 + 81.6)\ m = \fbox{\color[RGB]{192,0,0}{\bf 181.6\ m}}


Si la velocidad que quieres calcular es la que tendrá el objeto al volver al punto de partida, puedes considerar ahora una caída libre desde el punto de máxima altura hasta la altura del edificio, suponiendo que la velocidad inicial es cero:

v^2 = \cancelto{0}{v_0^2} - 2gh = -\sqrt{2\cdot 9.8\ \frac{m}{s^2}\cdot (181.6 - 100)\ m} = \fbox{\color[RGB]{192,0,0}{\bm{-40\ \frac{m}{s}}}}


El signo negativo indica que tiene el mismo sentido que la gravedad, que la habíamos tomado negativa en el apartado anterior porque tenía sentido contrario a la velocidad de lanzamiento.

Si lo que quieres calcular es la velocidad con la que llega al suelo, debes tener en cuenta la altura desde la que parte, que son los 181.6 m:

v^2 = \cancelto{0}{v_0^2} - 2gh = -\sqrt{2\cdot 9.8\ \frac{m}{s^2}\cdot 181.6\ m} = \fbox{\color[RGB]{192,0,0}{\bm{-59.7\ \frac{m}{s}}}}

Palabras clave