Movimiento uniformemente retardado 0002

, por F_y_Q

Un automóvil está viajando a 72 km/h y el conductor empieza a frenar con una desaceleración de 2 m/s^2. Calcula el tiempo que tarda en recorrer 80 m.

P.-S.

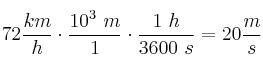
En primer lugar es necesario expresar las magnitudes en las mismas unidades. Vamos a convertir la velocidad en unidades SI:

72\frac{km}{h}\cdot \frac{10^3\ m}{1\km}\cdot \frac{1\ h}{3600\ s} = 20\frac{m}{s}


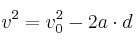
Al ser un movimiento rectilíneo uniformemente retardado, aplicaremos la expresión que relaciona el espacio recorrido con las velocidades inicial y final y la aceleración: v^2 = v_0^2 - 2a\cdot d
(El signo menos indica que la aceleración se opone al movimiento)

v = \sqrt{v_0^2 - 2a\cdot d}\ \to\ v = \sqrt{20^2\frac{m^2}{s^2} - 2\frac{m}{s^2}\cdot 2\cdot 80\ m} = 8,94\frac{m}{s}


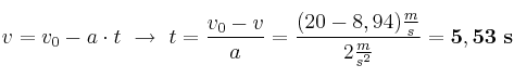
Ya tenemos la velocidad que tendrá el automóvil cuando haya recorrido los 80 m. Sólo nos queda calcular el tiempo:

v = v_0 - a\cdot t\ \to\ t = \frac{v_0 - v}{a} = \frac{(20 - 8,94)\frac{m}{s}}{2\frac{m}{s^2}} = \bf 5,53\ s