Movimiento uniformemente retardado (2058)

, por F_y_Q

Un móvil que se desplaza a 72 km/h cuando aplica los frenos durante 10 segundos. Si al final del frenado lleva una rapidez de 5 km/h. Halla la aceleración que sufre.

P.-S.

La aceleración se define como:

a  = \frac{\Delta v}{\Delta t}

Según el enunciado, la variación del tiempo son 10 s y la variación de la velocidad es (5 - 72) km/h = - 67 km/h.

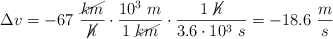
Para que el problema sea homogéneo es necesario que cambies de unidad el valor de la variación de velocidad:

\Delta v = - 67\ \frac{\cancel{km}}{\cancel{h}}\cdot \frac{10^3\ m}{1\ \cancel{km}}\cdot \frac{1\ \cancel{h}}{3.6\cdot 10^3\ s} = - 18.6\ \frac{m}{s}

Ahora calculamos la aceleración:

a = \frac{-18.6\ \frac{m}{\cancel{s}}}{10\ \cancel{s}} = \fbox{\color[RGB]{192,0,0}{\bm{-1.86\ \frac{m}{s^2}}}}