Movimiento uniformemente acelerado y cambio de unidades 0001

, por F_y_Q

Un móvil parte del reposo y comienza a moverse en línea recta hacia la derecha con una aceleración de 2,8 \frac{m}{s^2}. ¿Cuántos kilómetros recorrerá en 0,6 horas?

P.-S.

Para hacer el problema vamos a hacer un cambio de unidades sobre el dato de la aceleración:

2,8\frac{m}{s^2}\cdot \frac{1\ km}{10^3\ m}\cdot \frac{3\ 600^2\ s^2}{1\ h^2} = 36\ 288\frac{km}{h^2}


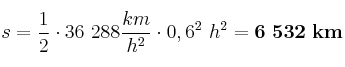
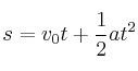
Aplicamos la expresión: s = v_0t + \frac{1}{2}at^2

s = \frac{1}{2}\cdot 36\ 288\frac{km}{h^2}\cdot 0,6^2\ h^2 = \bf 6\ 532\ km