Movimiento rectilíneo uniformemente retardado (2251)

, por F_y_Q

Un coche se mueve con una velocidad de 108 km/h. Después de haber presionado el freno, se mueve 30 metros más y finalmente se para. ¿Cuántos segundos ha tardado la frenada?

P.-S.

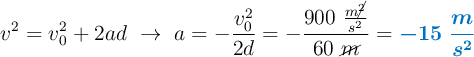
En primer lugar, calculas la aceleración con la que frena el vehículo:

v^2 = v_0^2 + 2ad\ \to\ a = - \frac{v_0^2}{2d} = - \frac{900\ \frac{m\cancel{^2}}{s^2}}{60\ \cancel{m}} = \color[RGB]{0,112,192}{\bm{- 15\ \frac{m}{s^2}}}

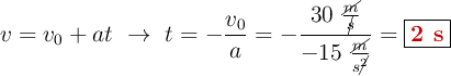
Ahora puedes determinar el tiempo que tarda en detenerse:

v = v_0 + at\ \to\ t = - \frac{v_0}{a} = - \frac{30\ \frac{\cancel{m}}{\cancel{s}}}{- 15\ \frac{\cancel{m}}{s\cancel{^2}}} = \fbox{\color[RGB]{192,0,0}{\bf 2\ s}}

Palabras clave