Movimiento horizontal con aceleración constante 0001

, por F_y_Q

Una partícula pasa por el origen y se mueve con aceleración constante a lo largo de una línea recta hacia la derecha. Después de 2 segundos pasa por el punto A con una rapidez 10 m/s y 100 m después pasa por el punto B con una rapidez de 30 m/s. Calcula:

a) La velocidad inicial.

b) La aceleración con la que se mueve la partícula.

c) El tiempo que emplea en ir de A a B.

P.-S.

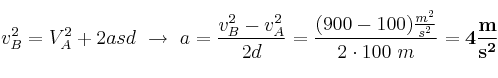
b) Con los datos del enunciado podemos calcular la aceleración de la partícula si tenemos en cuenta la diferencia de velocidades entre A y B y la distancia que separa a ambos puntos. Emplearemos la expresión:

v_B^2 = V_A^2 + 2asd\ \to\ a = \frac{v_B^2 - v_A^2}{2d} = \frac{(900 - 100)\frac{m^2}{s^2}}{2\cdot 100\ m} = \bf 4\frac{m}{s^2}


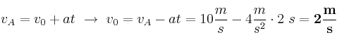
a) Ahora podemos determinar la velocidad inicial a partir de los datos del punto A:

v_A = v_0 + at\ \to\ v_0 = v_A - at = 10\frac{m}{s} - 4\frac{m}{s^2}\cdot 2\ s = \bf 2\frac{m}{s}


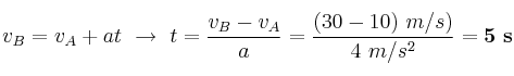
c) El tiempo que tarda la partícula en ir de A a B es:

v_B = v_A + at\ \to\ t = \frac{v_B - v_A}{a} = \frac{(30 - 10)\ m/s)}{4\ m/s^2} = \bf 5\ s