Movimiento de un cohete que se queda sin combustible (4437)

, por F_y_Q

Un cohete es lanzado verticalmente hacia arriba desde el reposo con una aceleración vertical y hacia arriba constante de 14.7\textstyle \frac{m}{s^2} durante 8 s. En ese momento se le acaba el combustible y el cohete continúa moviéndose de manera que únicamente queda sujeto a la gravedad de la Tierra. Determina:

a) La altura máxima que alcanza el cohete.

b) El tiempo que tardaría en regresar a Tierra.

P.-S.

El cohete sufre dos movimientos acelerados distintos: el primero de ascenso con una aceleración que será la resultante de la aceleración dada por el combustible y la de la gravedad; y el segundo con una aceleración igual a la de la gravedad. La aceleración neta de ascenso es:

a_r=(14.7 - 9.8)\ \frac{m}{s^2} = \color[RGB]{0,112,192}{\bm{4.9\ \frac{m}{s^2}}}

a) Para calcular la altura máxima diferencias dos partes:

Primera parte: El cohete sube durante 8 s con esa aceleración media. La velocidad que tendrá cuando se acabe el combustible será:

v_{8s} = v_0 + a_r\cdot t = 4.9\ \frac{m}{s\cancel{^2}}\cdot 8\ \cancel{s} = \color[RGB]{0,112,192}{\bm{39.2\ \frac{m}{s}}}

Este valor de velocidad es el que tomas como velocidad inicial una vez que se acaba el combustible del cohete.

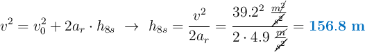
La altura del cohete a los 8 s será:

v^2 = v_0^2 + 2a_r\cdot h_{8s}\ \to\ h_{8s} = \frac{v^2}{2a_r} = \frac{39.2^2\ \frac{m\cancel{^2}}{\cancel{s^2}}}{2\cdot 4.9\ \frac{\cancel{m}}{\cancel{s^2}}} = \color[RGB]{0,112,192}{\bf 156.8\ m}

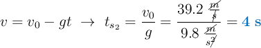
Segunda parte: Calculas el tiempo que seguirá subiendo debido a la velocidad que lleva cuando se le acaba el combustible. Ahora consideras que la velocidad final será cero y la inicial la calculada antes:

v = v_0 - gt\ \to\ t_{s_2} = \frac{v_0}{g} = \frac{39.2\ \frac{\cancel{m}}{\cancel{s}}}{9.8\ \frac{\cancel{m}}{s\cancel{^2}}} = \color[RGB]{0,112,192}{\bf 4\ s}

Por lo tanto, el tiempo de total de subida del cohete es:

t_s = (8 + 4)\ s = \color[RGB]{0,112,192}{\bf 12\ s}

Este dato que te será de utilidad en el apartado b).

La altura que alcanza el cohete sigue la ecuación:

\color[RGB]{2,112,20}{\bm{h_{max} = h_{8s} + v_0\cdot t_s_2 - \frac{g}{2}\cdot t_{s_2}^2}}

Sustituyes y calculas:

h_{max} = 156.8\ m + 39.2\ \frac{m}{\cancel{s}}\cdot 4\ \cancel{s} - 4.9\ \frac{m}{\cancel{s^2}}\cdot 4^2\ \cancel{s^2} = \fbox{\color[RGB]{192,0,0}{\bf 235.2\ m}}


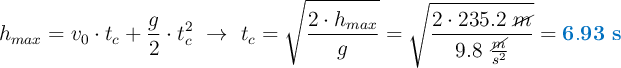
b) Ahora consideras una caída libre desde la altura máxima calculada para determinar el tiempo de caída del cohete:

h_{max} = v_0\cdot t_c + \frac{g}{2}\cdot t_c^2\ \to\ t_c = \sqrt{\frac{2\cdot h_{max}}{g}} = \sqrt{\frac{2\cdot 235.2\ \cancel{m}}{9.8\ \frac{\cancel{m}}{s^2}}} = \color[RGB]{0,112,192}{\bf 6.93\ s}

El tiempo que tardaría en volver a tierra será la suma del tiempo de ascenso y el de caída:

t_T = (12 + 6.93)\ s = \fbox{\color[RGB]{192,0,0}{\bf 18.93\ s}}

Palabras clave