Movimiento de graves: lanzamiento hacia abajo 0001

, por F_y_Q

Desde una altura de 29,4 m se lanza una bola verticalmente hacia abajo con rapidez de 4,9 m/s. Determina el tiempo que tarda la bola en llegar al suelo y la velocidad de la bola inmediatamente antes de chocar contra el suelo. Dato: g = 10\ m\cdot s^{-2}

P.-S.

Dado que conocemos la distancia que ha de caer la bola y cuál es su velocidad inicial y su aceleración, podemos determinar la velocidad con la que llegará al suelo sin necesidad de conocer el tiempo que tardará en ello:
v^2 = v_0^2 + 2gh\ \to\ v = \sqrt{4,9^2\frac{m^2}{s^2} + 2\cdot 10\frac{m}{s^2}\cdot 29,4\ m} = \bf 24,74\frac{m}{s}
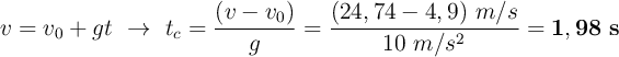
Ahora podemos calcular el tiempo durante el que cae:
v = v_0 + gt\ \to\ t_c  = \frac{(v - v_0)}{g} = \frac{(24,74 - 4,9)\ m/s}{10\ m/s^2} = \bf 1,98\ s