Movimiento de despegue de un cohete (7318)

, por F_y_Q

Se lanza un modelo de cohete hacia arriba con una velocidad inicial de 50.0\ \textstyle{m\over s}. Acelera con una aceleración ascendente constante de 2.00\ \textstyle{m\over s^2} hasta que sus motores se detienen a una altitud de 150 m.

a) ¿Qué puedes decir sobre el movimiento del cohete después de que se detienen sus motores?

b) ¿Cuál es la altura máxima alcanzada por el cohete?

c) ¿Cuánto tiempo después del despegue alcanza el cohete su altura máxima?

P.-S.

a) Cuando se detienen los motores del cohete este sigue un movimiento rectilíneo uniformemente acelerado (MRUA) porque sigue estando bajo la acción de la aceleración de la gravedad, con lo que su velocidad iría disminuyendo con el tiempo.

b) El primer paso que debes dar es calcular la velocidad del cohete cuando sus motores se detienen:

v^2 = v_0^2 + 2ah\ \to\ \color[RGB]{2,112,20}{\bm{v = \sqrt{v_0^2 + 2ah}}}

Sustituyes y calculas el valor de la velocidad del cohete:

v = \sqrt{50^2\ \frac{m^2}{s^2} + 2\cdot 2\ \frac{m}{s^2}\cdot 150\ m} = \color[RGB]{0,112,192}{\bm{55.7\ \frac{m}{s}}}

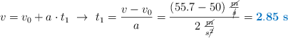
El tiempo durante el que está acelerando el cohete con esa aceleración ascendente es:

v = v_0 + a\cdot t_1\ \to\ t_1 = \frac{v - v_0}{a} = \frac{(55.7 - 50)\ \frac{\cancel{m}}{\cancel{s}}}{2\ \frac{\cancel{m}}{s\cancel{^2}}} = \color[RGB]{0,112,192}{\bf 2.85\ s}

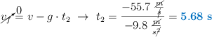
El tiempo durante el que asciende el cohete, hasta que deja de hacerlo para bajar, instante que coincide con que su velocidad es cero y está en la altura máxima, es:

\cancelto{0}{v_f} = v - g\cdot t_2\ \to\ t_2 = \frac{-55.7\ \frac{\cancel{m}}{\cancel{s}}}{-9.8\ \frac{\cancel{m}}{s\cancel{^2}}} = \color[RGB]{0,112,192}{\bf 5.68\ s}

La altura máxima, teniendo en cuenta que ya está a 150 m de altura cuando para sus motores, es:

h_{m\acute{a}x} = h_0 + v\cdot t_2 - \frac{g}{2}\cdot t_2^2 = 150\ m + 55.7\ \frac{m}{\cancel{s}}\cdot 5.68\ \cancel{s} - 4.9\ \frac{m}{\cancel{s^2}}\cdot 5.68^2\ \cancel{s^2} = \fbox{\color[RGB]{192,0,0}{\bf 308\ m}}


c) El tiempo total es la suma de los tiempos calculados antes:

t_T = t_1 + t_2 = (2.85 + 5.68)\ s = \fbox{\color[RGB]{192,0,0}{\bf 8.53\ s}}


Puedes descargar el enunciado y la resolución del problema en formato EDICO si lo necesitas:

Palabras clave