Móvil sobre el que se aplican los frenos durante cuatro segundos

, por F_y_Q

Un móvil tiene una velocidad constante de 72 km/h. Si se le aplican los frenos su velocidad disminuye hasta 2 m/s en un tiempo de 4 segundos. ¿Cuál es su aceleración? ¿Cuál es el desplazamiento en dicho tiempo? ¿Qué tiempo tardó en detenerse?

P.-S.

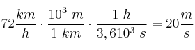
Lo pirmero que haré es convertir la velocidad inicial del móvil a unidades del Sistema Internacional. La conversión la realizo con un par de factores de conversión:
72\frac{km}{h}\cdot \frac{10^3\ m}{1\ km}\cdot \frac{1\ h}{3,6\ccot 10^3\ s} = 20\frac{m}{s}
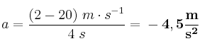
La aceleración será el cociente entre la variación de la velocidad y el tiempo transcurrido:

a = \frac{(2 - 20)\ m\cdot s^{-1}}{4\ s} = \bf -4,5\frac{m}{s^2}


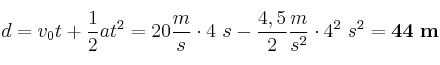
El desplazamiento que ha tenido en los 4 segundos será:

d = v_0t + \frac{1}{2}at^2 =20\frac{m}{s}\cdot 4\ s - \frac{4,5}{2}\frac{m}{s^2}\cdot 4^2\ s^2 = \bf 44\ m


Cuando se detenga, la velocidad final será cero:

v = v_0 + at_T\ \to\ t_T = - \frac{v_0}{a} = -\frac{20\ m\cdot s^{-1}}{4,5\ m\cdot s^{-2}} = \bf 4,44\ s