Móvil que se mueve con aceleración constante 0001

, por F_y_Q

Un móvil parte del reposo y en 20 s alcanza una velocidad de 50 m/s. Calcule la aceleración y el espacio recorrido en 13 s.

P.-S.

Se trata de un ejercicio sobre movimiento uniformemente acelerado en el que la trayectoria es recta. Las ecuaciones que rigen este tipo de movimientos son:
1) Velocidad del móvil: v = v_0 + at
A partir de esta expresión podemos determinar la aceleración:

a = \frac{v - v_0}{t} = \frac{50\frac{m}{s} - 0\frac{m}{s}}{20\ s} = \bf 2,5\frac{m}{s^2}


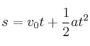
2) Posición del móvil en un momento dado: s = v_0 t + \frac{1}{2}at^2
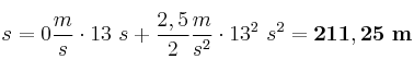
Una vez que sabemos la aceleración solo tenemos que sustituir:

s = 0\frac{m}{s}\cdot 13\ s + \frac{2,5}{2}\frac{m}{s^2}\cdot 13^2\ s^2 = \bf 211,25\ m