Motorista que frena antes de un semáforo para evitar un atropello

, por F_y_Q

Una moto viene a una velocidad de 100 km/h cuando el piloto levanta la vista y observa que se encuentra a 200 metros del semáforo, que cambia a luz roja y cruzan unas personas que se encuentran en la misma dirección que lleva la moto. Si el conductor tarda un segundo en reaccionar y aplica los frenos con una aceleración de 2\ m/s^2, determina si golpea o no golpea a las personas que cruzan por el paso de cebra ubicado debajo del semáforo.

P.-S.

Para que las unidades del problema sean homogéneas hay que convertir la velocidad inicial de la moto a m/s. Se puede hacer aplicando los factores de conversión adecuados:
100\frac{\cancel{km}}{\cancel{h}}\cdot \frac{10^3\ m}{1\ \cancel{km}}\cdot \frac{1\ \cancel{h}}{3,6\cdot 10^3\ s} = 27,78\frac{m}{s}
Como tarda un segundo en aplicar los frenos habrá recorrido 27,78 m antes de comenzar la frenada, esto quiere decir que tendrá que detener la moto antes de recorrer (200 - 27,78) m = 172,22 m, si quiere evitar la colisión.
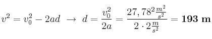
Calculamos la distancia que recorre antes de conseguir frenar del todo:

v^2 = v_0^2 - 2ad\ \to\ d = \frac{v_0^2}{2a} = \frac{27,78^2\frac{m^2}{s^2}}{2\cdot 2\frac{m}{s^2}} = \bf 193\ m

Esto quiere decir que el piloto NO PUEDE EVITAR ATROPELLAR A LAS PERSONAS porque necesita más distancia de la que dispone para terminar la maniobra.