Mol, moléculas y masa 0001

, por F_y_Q

Si disponemos de 4 moles de metano, CH_4, ¿qué numero de moléculas de metano tenemos? ¿A qué masa de metano corresponde?

Datos: H = 1 ; C = 12

P.-S.

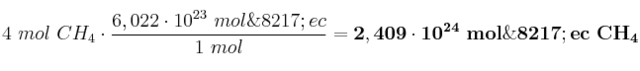
Un mol de cualquier sustancia es, por definición, el número de Avogadro de partículas de esa sustancia. Si lo aplicamos al metano:

4\ mol\ CH_4\cdot \frac{6,022\cdot 10^{23}\ mol\’ec}{1\ mol} = \bf 2,409\cdot 10^{24}\ mol\’ec\ CH_4


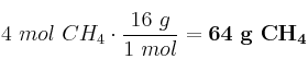
Si tenemos en cuenta las masas atómicas de H y C podemos calcular la masa molecular del metano: 4·1 + 1·12 = 16 g/mol. A partir de este dato:

4\ mol\ CH_4\cdot \frac{16\ g}{1\ mol} = \bf 64\ g\ CH_4