Mol-gramo presentes en una masa de ácido carbónico 0001

, por F_y_Q

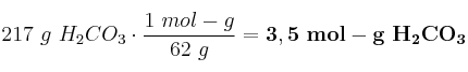
Determina los mol-gramo que hay en 217 g de H_2CO_3.
Masas atómicas: H = 1 ; C = 12 ; O = 16.

P.-S.

La masa molecular del H_2CO_3 es: 2·1 + 1·12 + 3·16 = 62 g/mol-g.

217\ g\ H_2CO_3\cdot \frac{1\ mol-g}{62\ g} = \bf 3,5\ mol-g\ H_2CO_3


Recuerda que los mol-g no son más que los moles de sustancia que hay, pero expresados en gramos.