Masas contenidas en moles de distintas sustancias

, por F_y_Q

Calcula la masa de cada sustancia:

a) 0,5 mol de HNO_2.

b) 3 moles de H_2O.

c) 15 moles de H_2SO_4.

d) 5 moles de KOH.

P.-S.

Calculamos la masa molecular de cada sustancia y luego hacermos la conversión a masa:
a) 0,5\ \cancel{mol}\cdot \frac{(1\cdot 1 + 1\cdot 14 + 2\cdot 16)\ g}{1\ \cancel{mol}} = \bf 23,5\ g\ HNO_2
b) 3\ \cancel{mol}\cdot \frac{(2\cdot 1 + 1\cdot 16)\ g}{1\ \cancel{mol}} = \bf 54\ g\ H_2O
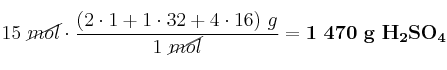
c) 15\ \cancel{mol}\cdot \frac{(2\cdot 1 + 1\cdot 32 + 4\cdot 16)\ g}{1\ \cancel{mol}} = \bf 1\ 470\ g\ H_2SO_4
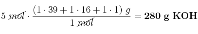
d) 5\ \cancel{mol}\cdot \frac{(1\cdot 39 + 1\cdot 16 + 1\cdot 1)\ g}{1\ \cancel{mol}} = \bf 280\ g\ KOH