Masa y moles de sustancia en una reacción química 0001

, por F_y_Q

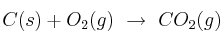
A partir de la ecuación ajustada C(s) + O_2(g)\ \to\ CO_2(g): calcula los moles y la masa de O_2 necesarios para reaccionar con 10 g de carbono.

P.-S.

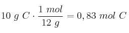
En primer lugar debemos convertir en mol la masa de carbono:
10\ g\ C\cdot \frac{1\ mol}{12\ g} = 0,83\ mol\ C
Cada mol de C requiere de un mol de O_2 en la reacción, luego serán necesarios 0,83 mol de oxígeno. Esta cantidad equivale a:
0,83\ mol\ O_2\cdot \frac{32\ g}{1\ mol} = \bf 26,56\ g\ O_2