Masa y moles de amoniaco que han reaccionado con el óxido de plomo (780)

, por F_y_Q

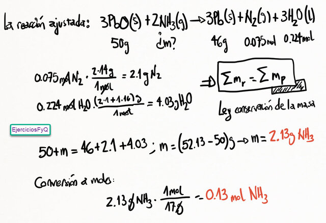
En el proceso:

\ce{PbO(s) + NH3(g) -> Pb(s) + N2(g) + H2O(l)}

se hacen reaccionar 50 g de \ce{PbO} y se obtienen 46 g de \ce{Pb} , 0.075 moles de \ce{N2} y 0.224 moles de \ce{H_2O} . ¿Qué masa de \ce{NH_3} habrá reaccionado? ¿Cuántos moles son?

Solo puedes usar para hacer el problema la masa atómica del N (14 u), la del H (1 u) y la del O (16 u).

P.-S.

\fbox{\color[RGB]{192,0,0}{\textbf{m = 2.13\ g\ \ce{NH3}}}} ; \fbox{\color[RGB]{192,0,0}{\textbf{n = 0.13\ moles\ \ce{NH3}}}}