Masa de un oscilador armónico en función del tiempo

, por F_y_Q

¿Cómo hallarías la masa de un cuerpo si para ello dispones de un resorte de constante conocida y un cronómetro?

P.-S.

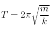
La manera de conocer la masa sería unir el cuerpo al resorte y hacerlo oscilar de manera armónica. El periodo de oscilación del cuerpo sería:

T = 2\pi\sqrt{\frac{m}{k}}


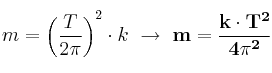
Despejamos la masa de la ecuación y obtenemos la masa en función de la constante y del periodo:

m = \left(\frac{T}{2\pi}\right)^2\cdot k\ \to\ \bf m = \frac{k\cdot T^2}{4\pi^2}