Masa de un bloque sabiendo cómo varía su velocidad al aplicar una fuerza (7641)

, por F_y_Q

Una chica empuja un bloque que está en reposo, sobre una superficie horizontal sin rozamiento, con una fuerza de 50 N y alcanza una velocidad de 5 m/s en 10 s. Halla la masa del bloque.

P.-S.

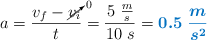
Lo primero que debes hacer es calcular la aceleración que sufre el bloque cuando la chica lo empuja:

a = \frac{v_f - \cancelto{0}{v_i}}{t} = \frac{5\ \frac{m}{s}}{10\ s} = \color[RGB]{0,112,192}{\bm{0.5\ \frac{m}{s^2}}}

A partir de la segunda ley de la dinámica, despejas el valor de la masa y lo calculas:

F = m\cdot a\ \to\ m = \frac{F}{a} = \frac{50\ N}{0.5\ \frac{m}{s^2}} = \fbox{\color[RGB]{192,0,0}{\bf 100\ kg}}