Masa de hidróxido de calcio necesaria para reaccionar con una masa de HCl (4746)

, por F_y_Q

Calcula la masa de hidróxido de calcio necesaria para reaccionar con 16.5 g de ácido clorhídrico.

Datos: Ca = 40 ; H = 1 ; Cl = 35.5 ; O = 16.

P.-S.

La reacción que debes tomar en cuenta es:

\color[RGB]{0,112,192}{\textbf{\ce{Ca(OH)2 + 2HCl -> CaCl2 + 2H2O}}}


Como te imponen la condición de la masa de HCl que ha de reaccionar, tomas esa referencia para hacer la relación másica. Las masas moleculares de las sustancias implicadas son:

\ce{Ca(OH)2}: 40 + 2\cdot (16 + 1) = 74\ \frac{g}{mol}

\ce{HCl}: 1\cdot 35.5 + 1\cdot 1 = 36.5\ \frac{g}{mol}

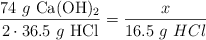
La relación másica, teniendo en cuenta la estequiometría de la reacción, será:

\frac{74\ g\ \ce{Ca(OH)2}}{2\cdot 36.5\ g\ \ce{HCl}} = \frac{x}{16.5\ g\ HCl}

x = \frac{74\cdot 16.5\ g\ \ce{Ca(OH)2}}{73} = \fbox{\color[RGB]{192,0,0}{\bf 16.73\ g\ \ce{Ca(OH)2}}}

Descarga el problema y su resolución en el archivo de EDICO si lo necesitas.