Masa de agua para conseguir fundir hielo y que la temperatura final sea cero grados (6016)

, por F_y_Q

Se tienen 0.5 kg de hielo a -10 ^oC y se mezclan con una masa de agua desconocida a 50 ^oC. Calcula la masa de agua que debemos mezclar para que quede toda líquida a 0 ^oC?

Datos: c_e(a) = 1 \ \textstyle{kcal\over kg\cdot ^oC} ; c_e(h) = 0.8 \ \textstyle{kcal\over kg\cdot ^oC} ; l_f(h) = 80 \ \textstyle{kcal\over kg}

P.-S.

Para alcanzar los 0 ^oC y que todo el sistema sea líquido es necesario calentar el hielo y fundirlo, contando para ello con el calor que cede la masa de agua desconocida:

m_h\cdot c_e(h)\cdot \Delta T_h + m_h\cdot l_f = -m_a\cdot c_e(a)\cdot \Delta T_a

Despejas el valor de la masa que debes mezclar:

\color[RGB]{2,112,20}{\bm{m_a = \frac{m_h\left[c_e(h)\cdot (T_f - T_h)\right]}{-c_e(a)\cdot (T_f - T_a)}}}

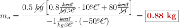
Solo te queda sustituir los valores del enunciado:

m_a = \frac{0.5\ \cancel{kg}\left[0.8\frac{\cancel{kcal}}{\cancel{kg}\cdot \cancel{^oC}}\cdot 10\cancel{^oC} + 80\frac{\cancel{kcal}}{\cancel{kg}}\right]}{-1\frac{\cancel{kcal}}{kg\cdot \cancel{^oC}}\cdot (-50\cancel{^oC})} = \fbox{\color[RGB]{192,0,0}{\bf 0.88\ kg}}