MRUA: aceleración y espacio recorrido 0001

, por F_y_Q

Un tren va a una velocidad de 18 m/s cuando frena y se detiene en 15 s. Calcula su aceleración y la distancia recorrida en la frenada.

P.-S.

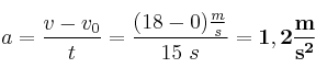
La aceleración será la variación de la velocidad partido por el tiempo en el que se produce esa variación:

a = \frac{v - v_0}{t} = \frac{(18 - 0)\frac{m}{s}}{15\ s} = \bf 1,2\frac{m}{s^2}


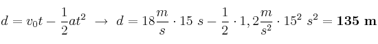
La distancia que recorre la podemos obtener aplicando la ecuación que relaciona la velocidad inicial y la aceleración con el tiempo pero, ¡cuidado!, debemos tener en cuenta que la velocidad y la aceleración tienen sentidos contrarios y deben tener signos distintos. Consideramos la aceleración negativa por oponerse al movimiento, por ser de frenado:

d = v_0t - \frac{1}{2}at^2\ \to\ d = 18\frac{m}{s}\cdot 15\ s - \frac{1}{2}\cdot 1,2\frac{m}{s^2}\cdot 15^2\ s^2 = \bf 135\ m