MRU: posición y tiempo en recorrer una distancia (2867)

, por F_y_Q

Un automóvil parte de un lugar a las 8:00 am con una rapidez de 72 km/h a través de una carretera recta:

a) ¿Dónde se encontrará a las 9:03 am?

b) ¿A qué hora habrá recorrido 15 000 m?

P.-S.

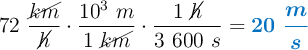
Dado que las unidades cambian en el enunciado, es muy adecuado que uses unidades SI, por lo que debes cambiar las unidades de la velocidad y el tiempo:

72\ \frac{\cancel{km}}{\cancel{h}}\cdot \frac{10^3\ m}{1\ \cancel{km}}\cdot \frac{1\ \cancel{h}}{3\ 600\ s} = \color[RGB]{0,112,192}{\bm{20\ \frac{m}{s}}}

a) Desde las 08:00 a las 09:03 han pasado 63 minutos, es decir:

63\ \cancel{min}\cdot \frac{60\ s}{1\ \cancel{min}} = \color[RGB]{0,112,192}{\bf 3\ 780\ s}

Pasado ese tiempo ha recorrido:

d = v\cdot t = 20\ \frac{m}{\cancel{s}}\cdot 3\ 780\ \cancel{s} = \fbox{\color[RGB]{192,0,0}{\bf 75\ 600\ m}}


b) Los 15 000 m los recorrerá en:

t= \frac{d}{v} = \frac{15\ 000\ \cancel{m}}{20\ \frac{\cancel{m}}{s}} = \color[RGB]{0,112,192}{\bf 750\ s}}

Estos segundos representan:

750\ \cancel{s}\cdot \frac{1\ min}{60\ \cancel{s}} = \color[RGB]{0,112,192}{\bf 12.5\ min}

Los 15 000 m los habrá recorrido a las \fbox{\color[RGB]{192,0,0}{\bf 08:13\ am}}